14 年
手机商铺
公司新闻/正文
354 人阅读发布时间:2024-11-22 16:19
准备购买荧光素酶 (Luciferase) 的底物 D-Luciferin,咦!D-Luciferin,D-Luciferin sodium,和 D-Luciferin potassium,这三个化合物是一个东西吗?要选哪个进行实验比较好?
听说 MCE 家最近出了一个 “药物游离态 or 盐型,实验如何选?” 专门介绍了你关心的这个问题哟,我们一起来看看吧~
01
化合物为什么要成盐?
药物溶解度是反映药物溶解性的重要指标,直接影响药物在体内吸收与生物利用度。水是药物的首·选 溶剂,但大多数药物为弱酸性或弱碱性,水溶性差,化合物成盐是解决药物溶解度差的有效方法之一[1]。
化合物成盐:
化合物的游离态,指的是药物分子在未被任何离子结合前的原始形态。游离态药物的溶解性、稳定性和生物利用度往往因化合物而异,具有较大的不确定性。
成盐是指药物分子与酸或碱结合,形成盐类化合物的过程。如果化合物是酸性的,他们可形成药学上可接受的阳离子形式盐;如果化合物是碱性的,则可形成药学上可接受的阴离子形成盐。
常见的酸式盐有盐酸盐、硫酸盐、磷酸盐、 氢·溴·酸盐、醋酸盐、苯磺酸盐等。
常见的碱式盐有钠盐、钙盐、钾盐、锌盐及葡甲·胺盐等。
表 1. 原料药中常见阴离子和阳离子的分布。

02
化合物成盐,有何优势?
一、成盐:改善药物分子理化性质,显著提高溶解度和溶解速度。
案例一
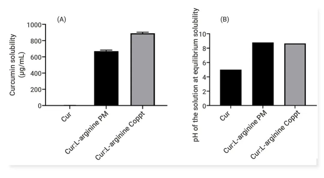
例如,姜黄素(详情:www.medchemexpress.cn/Curcumin.html)是一种天然多酚类化合物,具有众所周知的抗癌特性,但是较差的溶解度和渗透性阻碍了其作为抗癌药物的使用。科学家利用亲水小分子 L - 精氨酸与弱酸姜黄素形成盐,可以提高其溶解度[2]。

图 1. 姜黄素及其盐离子形式在溶解度和 ph 上的差异[2]。
案例二
Dorsomorphin (详情:www.medchemexpress.cn/dorsomorphin.html)是一种选择性,ATP 竞争性的 AMPK 抑制剂。Dorsomorphin 这个产品在水中几乎不溶解,但可用 DMSO (酸调节 ph) 的方法进行溶解,或者直接用 1 M HCl 进行溶解。Dorsomorphin dihydrochloride (详情:www.medchemexpress.cn/Dorsomorphin-dihydrochloride.html)是 Dorsomorphin 的盐酸盐形式,在水中的溶解度大大提高。
表 2. Dorsomorphin 和 Dorsomorphin dihydrochloride 溶解度对比。

二、成盐:提高化合物的稳定性
当暴露在不利条件下,包括强光照射 (4500±500 勒克斯)、高湿 (92.5±5% 相对湿度)、高温 (50±2°C) 和加速测试条件 (40°C/75±5%相对湿度) 时,Albendazole 的三种盐离子形式均表现出比 Albendazole(详情:/www.medchemexpress.cn/Albendazole.html) 更强大的物理稳定性[3]。

图 2. 成盐提高 Albendazole 的稳定性[3]。
改善渗透性:改善药物穿透膜或其他屏障的能力。
改善用药依从性:改变味道、气味或给药途径,提高患者用药依从性。
改善药效:反离子的药理行为可能会降低副作用。
减少注射剂在注射过程中产生的疼痛。
改变熔点或其他性质,使活性药物分子适用于新的剂型。
提高药物纯化、处理和加工工艺的便利性。
改善与辅料的相容性。
大量成盐药物在临床上得到应用。从 2015 年到 2023 上半年 FDA 批准的 219 个小分子化学新药来看,盐类药物共有 77 个,占 35%。其中盐酸盐最多,总共有 24 个。 对甲·苯磺酸盐位列第二,有 8 个。钠盐、甲磺酸盐并列第三,各有 6 个[4][5]。

图 3. 2015 年 -2023 上半年 FDA 批准的盐型药物。
生物等效性 (Bioequivalence,BE) 研究是以预先确定的等效标准进行的比较研究,是保证含同一药物活性成分的两制剂在体内行为的一致性,以及是否可互相替代的依据,是药物评价的重要指标。
一般情况下,我们认为游离态的药物和盐离子形式药物是等效的,例如 Oseltamivir free base(详情:www.medchemexpress.cn/oseltamivir.html)) 是一种具有口服活性的流感病毒神经氨酸酶抑制剂,具有抗病毒效果。文献报道 Oseltamivir free base 和 Oseltamivir phosphate (详情:www.medchemexpress.cn/Oseltamivir-phosphate.html) 在小鼠体内表现出一致的抗 maPR8 流感病毒活性[6]。BM635 是 MmpL3 的抑制剂, 具有出色的抗分歧杆菌活性。BM635 (详情:www.medchemexpress.cn/BM635.html)具有甲磺酸盐 BM635 mesylate (详情:www.medchemexpress.cn/bm635-mesylate.html)和盐酸盐 BM635 hydrochloride(详情:www.medchemexpress.cn/bm635-hydrochloride.html) 等盐离子形式,Giovanna Poce 等人的研究发现,BM635 及其不同的盐离子形式都具有抗分歧杆菌活性[7]。


图 4. Oseltamivir free base和 Oseltamivir phosphate 在小鼠模型中具有类似的抗病毒活性[6]。
D-荧光素 (游离态):游离酸的溶解度较低,H2O 中的溶解度 : < 0.1 mg/mL (不溶);D-荧光素钠盐虽溶解度较高 (H2O 中的溶解度: 250 mg/mL),但稳定性较差。D-荧光素钾盐,溶解度较高 (H2O 中的溶解度: 17.5 mg/mL) 且稳定性较好,因此,D-荧光素钾盐是生物实验的首·选 形式。
| 产品推荐 |
|
Dorsomorphin dihydrochloride (HY-13418)(详情:www.medchemexpress.cn/Dorsomorphin-dihydrochloride.html) ATP 竞争性 AMPK 抑制剂。 |
|
Chloroquine phosphate (HY-17589)(详情:www.medchemexpress.cn/Chloroquine-diphosphate.html) 自噬 和 TLRs 抑制剂。 |
|
D-Luciferin potassium (HY-12591B)(详情:www.medchemexpress.cn/D-Luciferin_potassium_salt.html) 荧光素酶的天然底物。 |
|
MCC950 sodium (HY-12815A)(详情:www.medchemexpress.cn/MCC950-sodium.html) 选择性 NLRP3 抑制剂。 |
|
MK-2206 dihydrochloride (HY-10358)(详情:www.medchemexpress.cn/MK-2206-dihydrochloride.html) 具有口服活性的,可透过血脑屏障的 Akt 抑制剂。 |
参考文献:
[1] Williams HD, et al. Strategies to address low drug solubility in discovery and development. Pharmacol Rev. 2013;65(1):315-499.
[2] Fatease AA, et al. A Novel Curcumin Arginine Salt: A Solution for Poor Solubility and Potential Anticancer Activities. Molecules. 2022;28(1):262.
[3] Yan H, et al. Improving the Solubility, Stability, and Bioavailability of Albendazole through Synthetic Salts. Molecules. 2024;29(15):3571. Published 2024 Jul 29.
[4] Bharate SS. Recent developments in pharmaceutical salts: FDA approvals from 2015 to 2019. Drug Discov Today. 2021;26(2):384-398.
[5] 药化行者。药物成盐,可以成哪些盐?
[6] Shin JS, et al. Comparison of anti-influenza virus activity and pharmacokinetics of oseltamivir free base and oseltamivir phosphate. J Microbiol. 2017;55(12):979-983.
[7] Poce G, et al. Pharmaceutical salt of BM635 with improved bioavailability. Eur J Pharm Sci. 2017;99:17-23.
