14 年
手机商铺
公司新闻/正文
387 人阅读发布时间:2024-07-05 15:45

近期,MoTrPAC 研究团队在 Nature 上发表了题为“Temporal dynamics of the multi-omic response to endurance exercise training”的研究论文[1]。(详情:pubmed.ncbi.nlm.nih.gov/38693412/)
该研究对接受长达八周耐力运动训练的大鼠组织进行时间多组学分析,揭示了广泛的共同、组织特异性和性别特异性变化,包括免疫、代谢、应激反应和线粒体通路。


首先,研究者建立了进行性耐力运动大鼠模型,以模拟人类研究。以 6 个月大的雄性和雌性 Fischer 344 大鼠为模型,对其进行无进步性跑步机训练 (年龄匹配的久坐老鼠作为对照)。
训练为期 8 周,在训练 1、2、4 和 8 周的最后一次运动 48 小时后,从保持久坐或完成耐力运动训练的雄性和雌性动物身上收集 18 个实体组织、血浆和全血样本 (图 1)。


图 1. 实验设计和组织样本处理[1]。
对纯种 Fischer 344 大鼠进行渐进式跑步机训练方案。从保持久坐或完成 1、2、4 或 8 周耐力运动训练的雄性和雌性动物身上采集组织。对于训练有素的动物,样本是在它们最后一次运动后 48 小时采集的 (红色大头针)。
使用基因组学、蛋白质组学、代谢组学和蛋白质免疫测定技术对全血、血浆和 18 种实体组织进行分析 (图 2)。数据汇总了包括 19 个组织,25 个分子平台和 4 个训练时间点的共计 9,466 项检测。该研究展示了耐力运动训练对大鼠组织和性别等多方面影响。


图 2. 研究中包含的分子数据集[1]。
每只动物的血液、血浆和 18 种实体组织生成多达 9 种数据类型 (omes): ACETYL: 乙酰蛋白质组学; 蛋白质位点乙酰化; ATAC, 染色质可及性, ATAC-seq 数据; IMMUNO, 多重免疫测定; METAB,代谢组学和脂质组学;METHYL,DNA 甲基化,RRBS 数据;PHOSPHO,磷酸蛋白质组学;蛋白质位点磷酸化;PROT,整体蛋白质组学;蛋白质丰度;TRNSCRPT,转录组学,RNA 测序数据;UBIQ,泛素组学,蛋白质位点泛素化。组织标签指示了本研究中使用的每种组织的位置、颜色代码和缩写:ADRNL,肾上腺; BAT,棕色脂肪组织;BLOOD, 全血, 血液 RNA; COLON, 结肠; CORTEX, 大脑皮层;HEART,心脏;HIPPOC,海马;HYPOTH,下丘脑;KIDNEY,肾脏;LIVER, 肝脏; LUNG, 肺; OVARY, 卵巢; PLASMA, 血浆; SKM-GN, 腓肠肌 (骨骼肌); SKM-VL, 股外侧肌 (骨骼肌); SMLINT, 小肠; SPLEEN, 脾脏; TESTES, 睾丸; VENACV, 下腔静脉; WAT-SC, 皮下白色脂肪组织。每个组织标签旁边的图标表示为该组织生成的数据类型。
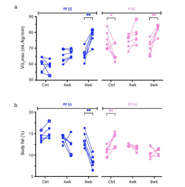
研究团队发现 6 个月大的雄性和雌性大鼠在进行 1、2、4、8 周的渐进式跑步机耐力运动训练后,其表型有明显的变化,包括增加有氧能力和减少体脂百分比等。其中,8 周后雄性大鼠的有氧能力 (VO2max) 提升了 18%,体脂下降 5%;而雌性大鼠有氧能力提升了 16% (图 3a-b)。耐力运动训练导致大鼠体内在组学和代谢等水平产生了大量的差异特征。


图 3. 耐力运动训练后大鼠表型的变化[1]。
(a-b) 未经训练的对照大鼠、4 周训练大鼠 (4 wk) 和 8 周训练大鼠 (8 wk) 的训练干预前后的临床测量。雄性为蓝色,雌性为粉红色。
研究团队选取六种组织 (腓肠肌、心脏、肝脏、白色脂肪组织、肺脏和肾脏) 对耐力运动训练的反应数据进行分析。他们发现整个组织中共有 7,115 个独特的基因,其中大部分具有至少一个是组织特异性的 (图 4a),白色脂肪组织中的数量是最多的。另外,有 22 个基因在所有组织中都受到了调控,尤其是与热休克反应相关,组织中热休克蛋白 (HSP) 的表达显着上调。
同时,他们发现许多组织中的关键激酶的磷酸化特征发生了变化,例如 AKT1、mTOR 和 MAPK 等。肝脏再生调节因子 (EGFR1、IGF、HGF)、细胞增殖因子 (STAT3、PXN、HGF) 等的磷酸化的增加,可能涉及到响应运动的肝脏再生机制 (图 4b)。


图 4. 耐力训练对多组织的相关基因和关键激酶的磷酸化的影响[1]。
(a) 每个基因受运动训练调节的组织 (肺、腓肠肌、皮下白色脂肪、肾、肝和心脏) 数量;(b) 肝脏中激酶和信号通路活性增加。
在训练的第 1 -2 周,小肠和血浆已经有较多的变化;而棕色和白色脂肪组织中的分别上调和下调的特征仅在第 8 周才能观察到。对于肾上腺组织,雌鼠和雄鼠在第 1 周时就可以观察到最大的相反的差异特征;而其他组织,比如横纹肌肌肉组织 (腓肠肌、股外侧肌和心脏) 则具有相对一致性的上调特征 (图 5a)。
促炎细胞因子等特异性细胞因子在组织中也表现出与性别相关的变化,例如雌性鼠会在第 1-2 周受到差异性调节,而雄性鼠则是在第 4-8 周 (图 5b)。



图 5. 耐力运动训练对组织和性别上的差异特征调节[1]。
(a) 腓肠肌 (SKM-GN)、股外侧肌 (SKM-VL) 和心脏三种肌肉组织训练后差异特征图示。(b) 雌性和雄性鼠早期 (1 周或 2 周) 与晚期 (4 周或 8 周) 差异的特异性细胞因子计数。
研究团队总结了代谢组学和非代谢组学数据集的生物体的代谢变化,发现肝脏中代谢物数量是最多的,其次是心脏、肺和海马体。同时,他们还观察到线粒体的生物合成在骨骼肌、心脏和肝脏中增加;在肾上腺以及结肠、肺和肾脏中也存在性别特异性的线粒体变化。而在肝脏中,他们发现磷脂酰胆碱的增加和三酰甘油的减少,过氧化物酶体的蛋白质丰度和乙酰化程度也会增加,其是在脂质代谢中具有关键功能的细胞器。
这些可能是运动介导的改善肝脏健康,特别是防止脂肪肝和脂肪变性的机制。




图 6. 实验数据与人类疾病和特征的关联[1]。
(a) 大鼠股外侧肌差异表达结果与人类骨骼肌组织中长期训练基因表达变化的关系;(b) 雌性大鼠腓肠肌中的差异转录物与比目鱼肌中差异表达基因的关系;(c) 白色脂肪、肾脏和肝脏基因集的 DOSE 疾病富集结果。
此外,本次实验结果与人类疾病的相关性具有高度一致性,研究者们将实验结果与现有的运动研究和疾病本体论 (DO) 相结合,发现股外侧肌转录组学结果与人类骨骼肌组织中长期训练基因表达变化具有显著的重叠 (图 6a)。经过 8 周训练的雌性大鼠腓肠肌中的差异转录物与比目鱼肌中鉴定出的差异表达基因存在显着重叠 (图 6b)。
同时,作者进行 DO 富集分析,发现来自白色脂肪组织、肾脏和肝脏的下调基因在多种疾病术语中富集 (图 6c),表明运动反应与 2 型糖尿病、心血管疾病、肥胖和肾脏疾病之间存在联系,这些都是流行病学相关的并发疾病。

研究团队在 mRNA 转录物、蛋白质、翻译后修饰和代谢物分析中,鉴定了训练诱导的数千种组织内和跨组织的变化,包括时间和性别的偏向反应。研究结果让我们对与运动相关的健康改善和疾病管理有了更深入的理解,可用于未来关于锻炼如何改善全身和特定组织健康的研究。总而言之,适当的运动训练对身体健康益处多多,大家动起来吧~

|
Phospho-AKT1 (Ser473) Antibody 详情:www.medchemexpress.cn/antibody/phospho-akt-ser473-rabbit-mab.html一个非偶联、分子量约 56 kDa、兔源、抗磷酸化 AKT (Ser473) 单克隆抗体,可用于人、小鼠、大鼠背景下 WB 实验。 |
|
Phospho-mTOR (Ser2448) Antibody (YA171) 详情:www.medchemexpress.cn/antibody/phospho-mtor-ser2448-rabbit-mab.html 一个非偶联、分子量约 289 kDa、兔源、抗磷酸化 mTOR (Ser2448) 单克隆抗体,可用于人、小鼠背景下 WB、IHC-P 实验。 |
|
Phospho-ERK1/2 (Thr202/Thr185) Antibody 详情:www.medchemexpress.cn/antibody/phospho-erk1-2-thr202-thr185-rabbit-mab.html 一个非偶联、分子量约 44.42 kDa、兔源、抗磷酸化 ERK1/2 (Thr202/Thr185) 单克隆抗体,可用于人、仓鼠、大鼠背景下 WB、IP 实验。 |
|
IGF 1 Antibody 详情:www.medchemexpress.cn/antibody/igf-1-antibody.html 一个非偶联、分子量约 7.7/21 kDa、兔来源、抗 IGF 1 多克隆抗体,可用于人、小鼠、大鼠、狗背景下 WB、ELISA、IP、IHC-P、IHC-F、IF 实验。 |
|
Phospho-STAT3 (Tyr705) Antibody 详情:www.medchemexpress.cn/antibody/phospho-stat3-tyr705-rabbit-pab.html 一个非偶联、分子量约 88 kDa、兔源、抗磷酸化 STAT3 (Tyr705) 多克隆抗体,可用于人、小鼠、大鼠背景下 WB、IHC-P、ICC/IF、IP 实验。 |



[1] MoTrPAC Study Group, et al. Temporal dynamics of the multi-omic response to endurance exercise training. Nature. 2024 May;629(8010):174-183.